Ibuprofen Interactions With Enalapril Maleate . both enalapril and ibuprofen can increase the risk of hyperkalaemia (hyperkalaemia is particularly notable when ace inhibitors or. Although certain medicines should not be used together at all, in other cases two different medicines. there are 403 drugs known to interact with enalapril, along with 7 disease interactions, and 2 alcohol/food interactions. Tell your doctor or pharmacist if you're taking: medicines that interact with enalapril may either decrease its effect, affect how long it works, increase side. there are some medicines that may affect the way enalapril works.
from www.gnhindia.com
Although certain medicines should not be used together at all, in other cases two different medicines. both enalapril and ibuprofen can increase the risk of hyperkalaemia (hyperkalaemia is particularly notable when ace inhibitors or. Tell your doctor or pharmacist if you're taking: there are some medicines that may affect the way enalapril works. medicines that interact with enalapril may either decrease its effect, affect how long it works, increase side. there are 403 drugs known to interact with enalapril, along with 7 disease interactions, and 2 alcohol/food interactions.
BUY Chlorpheniramine Maleate, Ibuprofen, Phenylephrine Hcl (Advil Multi
Ibuprofen Interactions With Enalapril Maleate Although certain medicines should not be used together at all, in other cases two different medicines. there are some medicines that may affect the way enalapril works. Although certain medicines should not be used together at all, in other cases two different medicines. Tell your doctor or pharmacist if you're taking: both enalapril and ibuprofen can increase the risk of hyperkalaemia (hyperkalaemia is particularly notable when ace inhibitors or. medicines that interact with enalapril may either decrease its effect, affect how long it works, increase side. there are 403 drugs known to interact with enalapril, along with 7 disease interactions, and 2 alcohol/food interactions.
From www.researchgate.net
(PDF) In vivo and in vitro interaction studies of ibuprofen with enalapril Ibuprofen Interactions With Enalapril Maleate both enalapril and ibuprofen can increase the risk of hyperkalaemia (hyperkalaemia is particularly notable when ace inhibitors or. Tell your doctor or pharmacist if you're taking: there are 403 drugs known to interact with enalapril, along with 7 disease interactions, and 2 alcohol/food interactions. there are some medicines that may affect the way enalapril works. medicines. Ibuprofen Interactions With Enalapril Maleate.
From www.indiamart.com
Paracetamol 5 mg Enalapril Maleate Tablets IP, For Hospital at Rs 42 Ibuprofen Interactions With Enalapril Maleate Although certain medicines should not be used together at all, in other cases two different medicines. both enalapril and ibuprofen can increase the risk of hyperkalaemia (hyperkalaemia is particularly notable when ace inhibitors or. there are 403 drugs known to interact with enalapril, along with 7 disease interactions, and 2 alcohol/food interactions. medicines that interact with enalapril. Ibuprofen Interactions With Enalapril Maleate.
From www.mdpi.com
Sci. Pharm. Free FullText Development of HPLC Method for Ibuprofen Interactions With Enalapril Maleate medicines that interact with enalapril may either decrease its effect, affect how long it works, increase side. there are some medicines that may affect the way enalapril works. both enalapril and ibuprofen can increase the risk of hyperkalaemia (hyperkalaemia is particularly notable when ace inhibitors or. Although certain medicines should not be used together at all, in. Ibuprofen Interactions With Enalapril Maleate.
From www.desertcart.de
Buy Amazon Basic Care Ibuprofen s 200 mg, Pain Reliever/Fever Reducer Ibuprofen Interactions With Enalapril Maleate medicines that interact with enalapril may either decrease its effect, affect how long it works, increase side. there are 403 drugs known to interact with enalapril, along with 7 disease interactions, and 2 alcohol/food interactions. Although certain medicines should not be used together at all, in other cases two different medicines. there are some medicines that may. Ibuprofen Interactions With Enalapril Maleate.
From www.credihealth.com
Does ibuprofen have aspirin in it? Credihealth Ibuprofen Interactions With Enalapril Maleate there are 403 drugs known to interact with enalapril, along with 7 disease interactions, and 2 alcohol/food interactions. medicines that interact with enalapril may either decrease its effect, affect how long it works, increase side. there are some medicines that may affect the way enalapril works. both enalapril and ibuprofen can increase the risk of hyperkalaemia. Ibuprofen Interactions With Enalapril Maleate.
From rebelem.com
A Randomized Control Trial Comparing Oral Ibuprofen at Three Single Ibuprofen Interactions With Enalapril Maleate Tell your doctor or pharmacist if you're taking: medicines that interact with enalapril may either decrease its effect, affect how long it works, increase side. there are some medicines that may affect the way enalapril works. there are 403 drugs known to interact with enalapril, along with 7 disease interactions, and 2 alcohol/food interactions. both enalapril. Ibuprofen Interactions With Enalapril Maleate.
From www.semanticscholar.org
[PDF] Development of HPLC Method for Simultaneous Determination of Ibuprofen Interactions With Enalapril Maleate there are 403 drugs known to interact with enalapril, along with 7 disease interactions, and 2 alcohol/food interactions. there are some medicines that may affect the way enalapril works. Tell your doctor or pharmacist if you're taking: medicines that interact with enalapril may either decrease its effect, affect how long it works, increase side. both enalapril. Ibuprofen Interactions With Enalapril Maleate.
From www.firstaidpro.com.au
Ibuprofen VS Paracetamol Know The Difference FirstAidPro Ibuprofen Interactions With Enalapril Maleate Although certain medicines should not be used together at all, in other cases two different medicines. both enalapril and ibuprofen can increase the risk of hyperkalaemia (hyperkalaemia is particularly notable when ace inhibitors or. there are some medicines that may affect the way enalapril works. there are 403 drugs known to interact with enalapril, along with 7. Ibuprofen Interactions With Enalapril Maleate.
From fda.report
ENALAPRIL MALEATE tablet Ibuprofen Interactions With Enalapril Maleate both enalapril and ibuprofen can increase the risk of hyperkalaemia (hyperkalaemia is particularly notable when ace inhibitors or. medicines that interact with enalapril may either decrease its effect, affect how long it works, increase side. there are some medicines that may affect the way enalapril works. there are 403 drugs known to interact with enalapril, along. Ibuprofen Interactions With Enalapril Maleate.
From stopandshop.com
Save on Motrin IB Ibuprofen Liquid Gels 200mg Pain Relief Capsules Ibuprofen Interactions With Enalapril Maleate Although certain medicines should not be used together at all, in other cases two different medicines. medicines that interact with enalapril may either decrease its effect, affect how long it works, increase side. there are some medicines that may affect the way enalapril works. Tell your doctor or pharmacist if you're taking: both enalapril and ibuprofen can. Ibuprofen Interactions With Enalapril Maleate.
From www.assetpharmacy.com
Afrab Ibuprofen Suspension 100mg/5ml, 100ml Asset Pharmacy Ibuprofen Interactions With Enalapril Maleate there are some medicines that may affect the way enalapril works. Although certain medicines should not be used together at all, in other cases two different medicines. there are 403 drugs known to interact with enalapril, along with 7 disease interactions, and 2 alcohol/food interactions. Tell your doctor or pharmacist if you're taking: both enalapril and ibuprofen. Ibuprofen Interactions With Enalapril Maleate.
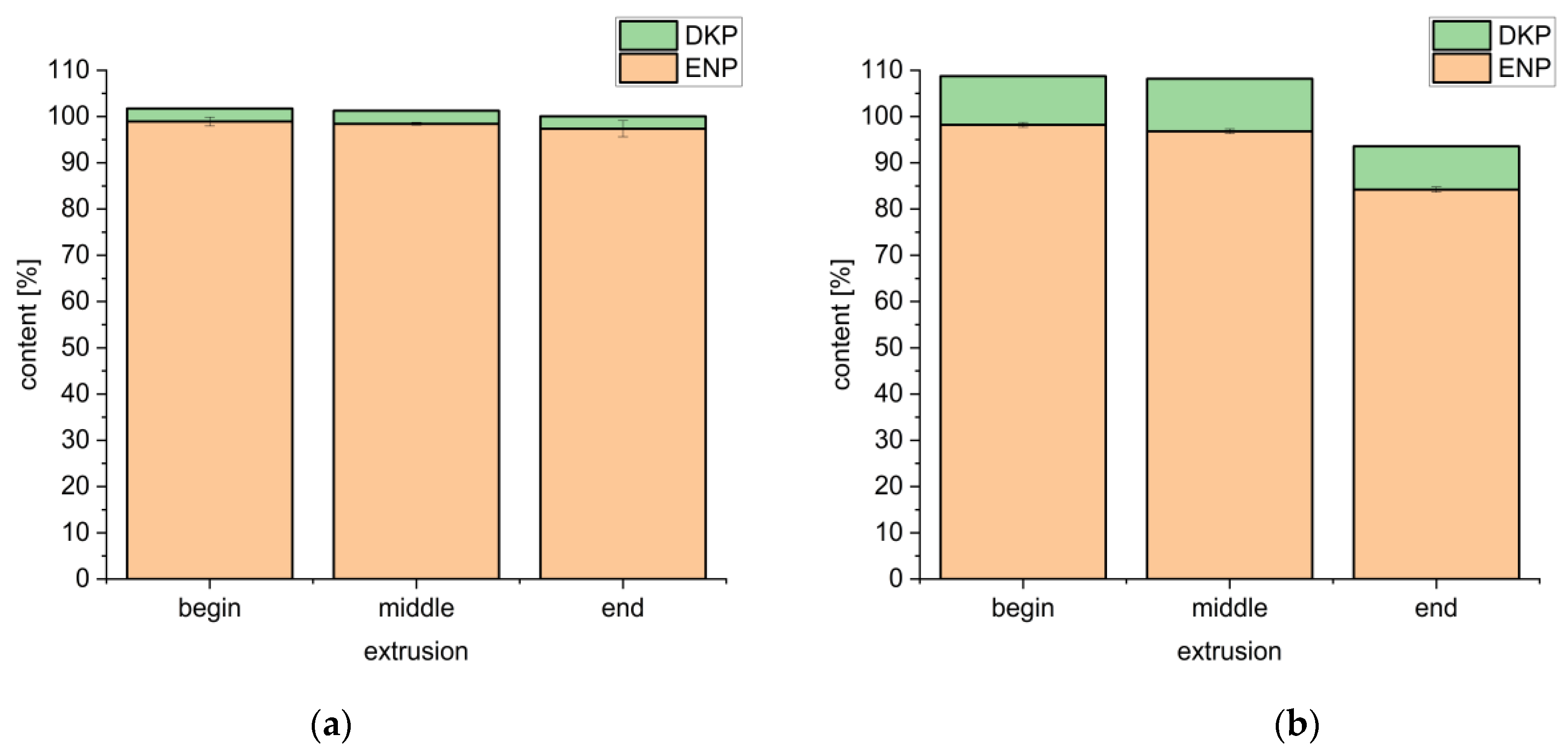
From www.mdpi.com
Pharmaceutics Free FullText HotMelt Extrusion of the Thermo Ibuprofen Interactions With Enalapril Maleate Tell your doctor or pharmacist if you're taking: Although certain medicines should not be used together at all, in other cases two different medicines. medicines that interact with enalapril may either decrease its effect, affect how long it works, increase side. both enalapril and ibuprofen can increase the risk of hyperkalaemia (hyperkalaemia is particularly notable when ace inhibitors. Ibuprofen Interactions With Enalapril Maleate.
From www.scribd.com
Enalapril Maleate Tablets PDF Edema Medical Specialties Ibuprofen Interactions With Enalapril Maleate Although certain medicines should not be used together at all, in other cases two different medicines. medicines that interact with enalapril may either decrease its effect, affect how long it works, increase side. there are some medicines that may affect the way enalapril works. there are 403 drugs known to interact with enalapril, along with 7 disease. Ibuprofen Interactions With Enalapril Maleate.
From www.indiamart.com
Enalapril Maleate 5 Mg Tablets at Rs 60/stripe Enalaprilat Tablet in Ibuprofen Interactions With Enalapril Maleate there are 403 drugs known to interact with enalapril, along with 7 disease interactions, and 2 alcohol/food interactions. Although certain medicines should not be used together at all, in other cases two different medicines. medicines that interact with enalapril may either decrease its effect, affect how long it works, increase side. there are some medicines that may. Ibuprofen Interactions With Enalapril Maleate.
From dribbble.com
Enalapril 10 mg An Effective Treatment for Hypertension by Enalapril Ibuprofen Interactions With Enalapril Maleate Tell your doctor or pharmacist if you're taking: there are 403 drugs known to interact with enalapril, along with 7 disease interactions, and 2 alcohol/food interactions. there are some medicines that may affect the way enalapril works. both enalapril and ibuprofen can increase the risk of hyperkalaemia (hyperkalaemia is particularly notable when ace inhibitors or. medicines. Ibuprofen Interactions With Enalapril Maleate.
From www.desertcart.com.au
Buy Advil Multi Symptom Cold and Flu Medicine With Ibuprofen Ibuprofen Interactions With Enalapril Maleate Tell your doctor or pharmacist if you're taking: there are some medicines that may affect the way enalapril works. both enalapril and ibuprofen can increase the risk of hyperkalaemia (hyperkalaemia is particularly notable when ace inhibitors or. medicines that interact with enalapril may either decrease its effect, affect how long it works, increase side. Although certain medicines. Ibuprofen Interactions With Enalapril Maleate.
From telegra.ph
Каптоприл Синтез Telegraph Ibuprofen Interactions With Enalapril Maleate Tell your doctor or pharmacist if you're taking: both enalapril and ibuprofen can increase the risk of hyperkalaemia (hyperkalaemia is particularly notable when ace inhibitors or. Although certain medicines should not be used together at all, in other cases two different medicines. medicines that interact with enalapril may either decrease its effect, affect how long it works, increase. Ibuprofen Interactions With Enalapril Maleate.
From www.desertcart.co.za
Buy Advil Multi Symptom Cold and Flu Medicine With Ibuprofen Ibuprofen Interactions With Enalapril Maleate there are some medicines that may affect the way enalapril works. there are 403 drugs known to interact with enalapril, along with 7 disease interactions, and 2 alcohol/food interactions. Tell your doctor or pharmacist if you're taking: medicines that interact with enalapril may either decrease its effect, affect how long it works, increase side. both enalapril. Ibuprofen Interactions With Enalapril Maleate.